1.
Sprawdzenie:
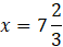
2.
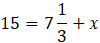
Sprawdzenie:
3.
Sprawdzenie:
Żeby sprawdzić rozwiązanie równania, podstaw do tego równania obliczoną wartość.