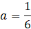
W tym zadaniu musisz znaleźć liczbę, która spełnia równanie .
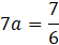
Sprawdzenie:
Żeby sprawdzić rozwiązanie równania wstaw liczby do równania i sprawdź, czy lewa strona jest równa prawej.
Ćwiczenie 1.
Podpunkt a)
Podpunkt b)
Podpunkt c)
Podpunkt d)
Ćwiczenie 2.
Ćwiczenie 3.
Ćwiczenie 4.
Ćwiczenie 5.
Ćwiczenie 6.
Ćwiczenie 7.
Ćwiczenie 8.
Ćwiczenie 9.
Ćwiczenie 10.
Ćwiczenie 11.
Ćwiczenie 12.
Ćwiczenie 13.
Ćwiczenie 14.
Ćwiczenie 15.
Zadanie sprawdzające 1.
Zadanie sprawdzające 2.
Zadanie sprawdzające 3.
Zadanie sprawdzające 4.
Zadanie sprawdzające 5.
Podpunkt e)
Podpunkt f)