W tym zadaniu musisz podać rozwiązania równań i .
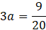
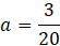
1.
2.
Staraj przenieść się liczby na prawo, a niewiadome na lewo.
Ćwiczenie 1.
Podpunkt a)
Podpunkt b)
Podpunkt c)
Podpunkt d)
Ćwiczenie 2.
Ćwiczenie 3.
Ćwiczenie 4.
Ćwiczenie 5.
Ćwiczenie 6.
Ćwiczenie 7.
Ćwiczenie 8.
Ćwiczenie 9.
Ćwiczenie 10.
Ćwiczenie 11.
Ćwiczenie 12.
Ćwiczenie 13.
Ćwiczenie 14.
Ćwiczenie 15.
Zadanie sprawdzające 1.
Zadanie sprawdzające 2.
Zadanie sprawdzające 3.
Zadanie sprawdzające 4.
Zadanie sprawdzające 5.
Podpunkt e)
Podpunkt f)