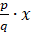
W tym zadaniu musisz opisać słownie wyrażenie .
Jedna szósta liczby .
Skorzystaj z tego, że „ liczby ” oznacza wyrażenie .
Ćwiczenie 1.
Podpunkt a)
Podpunkt b)
Podpunkt c)
Podpunkt d)
Ćwiczenie 2.
Ćwiczenie 3.
Ćwiczenie 4.
Ćwiczenie 5.
Ćwiczenie 6.
Ćwiczenie 7.
Ćwiczenie 8.
Ćwiczenie 9.
Ćwiczenie 10.
Ćwiczenie 11.
Ćwiczenie 12.
Ćwiczenie 13.
Ćwiczenie 14.
Ćwiczenie 15.
Zadanie sprawdzające 1.
Zadanie sprawdzające 2.
Zadanie sprawdzające 3.
Zadanie sprawdzające 4.
Zadanie sprawdzające 5.
Podpunkt e)
Podpunkt f)