Skul.pl
  • Opracowania zadań z podręczników
  • Matematyka. Klasa 8. Zeszyt ćwiczeń – rozwiązania i odpowiedzi
  • Zadanie 4

Matematyka. Klasa 8. Zeszyt ćwiczeń – rozwiązania i odpowiedzi

Zeszyt ćwiczeń, Wydawnictwo: Operon
Poprzednie

Zadanie 4 - strona 24

Następne

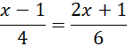
Zadanie

Rozwiąż równania i porównaj ich rozwiązania.

Rozwiązanie

i – nie mają tych samych rozwiązań

i

nie mają tych samych rozwiązań.

Skul

Wyjaśnienie

Poprzednie
Następne

Matematyka - wybrane pytania

Zadanie 8.8., strona 224, Matematyka. Klasa 1. Zbiór zadań. Zakres rozszerzony – rozwiązania i odpowiedzi
Zadanie 26., strona 228, Matematyka. Klasa 8. Podręcznik – rozwiązania i odpowiedzi
Zadanie 18.1, strona 59, NOWA MATeMAtyka. Klasa 1. Zakres podstawowy - rozwiązania i odpowiedzi
Zadanie 1., strona 103, Matematyka z kluczem. Klasa 4. Zeszyt ćwiczeń - rozwiązania i odpowiedzi
Zadanie 6, strona 106, MATeMAtyka 2. Zakres podstawowy. Podręcznik - rozwiązania i odpowiedzi
Zadanie 24., strona 97, Matematyka z kluczem. Klasa 8. Zbiór zadań – rozwiązania i odpowiedzi
Zadanie 6, strona 277, NOWA MATeMAtyka. Klasa 1. Zakres podstawowy - rozwiązania i odpowiedzi
Zadanie 12., strona 61, Teraz matura. Klasa 4. Poziom rozszerzony. Zbiór zadań – rozwiązania i odpowiedzi
Zadanie 2., strona 88, Matematyka z Plusem. Klasa 4. Podręcznik – rozwiązania i odpowiedzi
Zadanie 2., strona 23, Matematyka. Klasa 5. Zeszyt ćwiczeń - rozwiązania i odpowiedzi.
REKLAMA
Skul
Zadania z tego działu
1. Liczby i wyrażenia
5
Liczby dodatnie i ujemne
5

Zadanie 1

5

Zadanie 2

5

Zadanie 3

5

Zadanie 4

5

Zadanie 5

6

Zadanie 6

6

Zadanie 7

6

Zadanie 8

6
2. Potęgi i pierwiastki
7

Zadanie 1

7

Zadanie 2

7

Zadanie 3

7

Zadanie 4

7

Zadanie 5

8

Zadanie 6

8

Zadanie 7

8

Zadanie 8

9

Zadanie 9

9

Zadanie 10

9
3. Działania na liczbach
9

Zadanie 1

9

Zadanie 2

9

Zadanie 3

10

Zadanie 4

10

Zadanie 5

10

Zadanie 6

11

Zadanie 7

11

Zadanie 8

11

Zadanie 9

12

Zadanie 10

12
4. Obliczenia procentowe
12

Zadanie 1

12

Zadanie 2

12

Zadanie 3

13

Zadanie 4

13

Zadanie 5

13

Zadanie 6

13

Zadanie 7

14

Zadanie 8

14

Zadanie 9

14

Zadanie 10

14

Zadanie 11

15
5. Diagramy procentowe
15

Zadanie 1

15

Zadanie 2

16

Zadanie 3

16

Zadanie 4

17

Zadanie 5

18

Zadanie 6

19

Zadanie 7

20
6. Wyrażenia algebraiczne
20

Zadanie 1

20

Zadanie 2

21

Zadanie 3

21

Zadanie 4

21

Zadanie 5

22

Zadanie 6

22

Zadanie 7

22

Zadanie 8

22
7. Równania
23

Zadanie 1

23

Zadanie 2

23

Zadanie 3

23

Zadanie 4

24

Zadanie 5

24

Zadanie 6

25

Zadanie 7

25

Zadanie 8

25
Pełny spis treści
Skul
Artboard 1
Skul.pl
  • Napisz do nas
  • FAQ
  • Mapa Serwisu
  • Google Play
  • App Store

Korzystanie z portalu oznacza akceptację Regulaminu.
Polityka prywatności. Ustawienia preferencji. Copyright: INTERIA.PL 1999-2023 Wszystkie prawa zastrzeżone.