Skul.pl
  • Opracowania zadań z podręczników
  • Matematyka. Klasa 8. Zeszyt ćwiczeń – rozwiązania i odpowiedzi
  • Zadanie 7

Matematyka. Klasa 8. Zeszyt ćwiczeń – rozwiązania i odpowiedzi

Zeszyt ćwiczeń, Wydawnictwo: Operon
Poprzednie

Zadanie 7 - strona 8

Następne

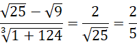
Zadanie

Uzupełnij równania.

Rozwiązanie

Skul

Wyjaśnienie

Poprzednie
Następne

Matematyka - wybrane pytania

Zadanie 9., strona 410, Prosto do matury. Matematyka. Klasa 2. Podręcznik. Zakres podstawowy i rozszerzony – rozwiązania i odpowiedzi
Zadanie 4, strona 126, MATeMAtyka 1. Karty pracy ucznia. Zakres podstawowy
Zadanie 3, strona 87, Matematyka. Klasa 7. Zeszyt ćwiczeń - rozwiązania i odpowiedzi
Zadanie 9, strona 19, Matematyka 4. Zakres podstawowy. Zbiór zadań - rozwiązania i odpowiedzi
Zadanie 7., strona 7, Matematyka. Klasa 8. Zeszyt ćwiczeń - rozwiązania i odpowiedzi
Zadanie 7, strona 27, Matematyka z kluczem. Klasa 7. Zeszyt ćwiczeń – rozwiązania i odpowiedzi
Zadanie 4, strona 193, Matematyka. Klasa 5. Podręcznik - rozwiązania i odpowiedzi
Zadanie 5, strona 323, Matematyka i przykłady jej zastosowań. Klasa 1.Podręcznik. Zakres podstawowy i rozszerzony - rozwiązania i odpowiedzi
Zadanie 10, strona 250, NOWA MATeMAtyka. Klasa 1. Zakres podstawowy - rozwiązania i odpowiedzi
Zadanie 3, strona 205, Matematyka z plusem. Klasa 4. Podręcznik - rozwiązania i odpowiedzi
REKLAMA
Skul
Zadania z tego działu
1. Liczby i wyrażenia
5
Liczby dodatnie i ujemne
5

Zadanie 1

5

Zadanie 2

5

Zadanie 3

5

Zadanie 4

5

Zadanie 5

6

Zadanie 6

6

Zadanie 7

6

Zadanie 8

6
2. Potęgi i pierwiastki
7

Zadanie 1

7

Zadanie 2

7

Zadanie 3

7

Zadanie 4

7

Zadanie 5

8

Zadanie 6

8

Zadanie 7

8

Zadanie 8

9

Zadanie 9

9

Zadanie 10

9
3. Działania na liczbach
9

Zadanie 1

9

Zadanie 2

9

Zadanie 3

10

Zadanie 4

10

Zadanie 5

10

Zadanie 6

11

Zadanie 7

11

Zadanie 8

11

Zadanie 9

12

Zadanie 10

12
4. Obliczenia procentowe
12

Zadanie 1

12

Zadanie 2

12

Zadanie 3

13

Zadanie 4

13

Zadanie 5

13

Zadanie 6

13

Zadanie 7

14

Zadanie 8

14

Zadanie 9

14

Zadanie 10

14

Zadanie 11

15
5. Diagramy procentowe
15

Zadanie 1

15

Zadanie 2

16

Zadanie 3

16

Zadanie 4

17

Zadanie 5

18

Zadanie 6

19

Zadanie 7

20
6. Wyrażenia algebraiczne
20

Zadanie 1

20

Zadanie 2

21

Zadanie 3

21

Zadanie 4

21

Zadanie 5

22

Zadanie 6

22

Zadanie 7

22

Zadanie 8

22
7. Równania
23

Zadanie 1

23

Zadanie 2

23

Zadanie 3

23

Zadanie 4

24

Zadanie 5

24

Zadanie 6

25

Zadanie 7

25

Zadanie 8

25
Pełny spis treści
Skul
Artboard 1
Skul.pl
  • Napisz do nas
  • FAQ
  • Mapa Serwisu
  • Google Play
  • App Store

Korzystanie z portalu oznacza akceptację Regulaminu.
Polityka prywatności. Ustawienia preferencji. Copyright: INTERIA.PL 1999-2023 Wszystkie prawa zastrzeżone.