Skul.pl
  • Opracowania zadań z podręczników
  • Matematyka. Klasa 8. Zeszyt ćwiczeń – rozwiązania i odpowiedzi
  • Zadanie 5

Matematyka. Klasa 8. Zeszyt ćwiczeń – rozwiązania i odpowiedzi

Zeszyt ćwiczeń, Wydawnictwo: Operon
Poprzednie

Zadanie 5 - strona 24

Następne

Zadanie

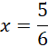
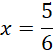
Oblicz, dla jakich wartości wartość podanego wyrażania jest równa 27.

Rozwiązanie

Skul

Wyjaśnienie

Poprzednie
Następne

Matematyka - wybrane pytania

Ćwiczenie Dla dociekliwych 1, strona 145, Matematyka z kluczem. Klasa 6. Podręcznik. Część 1 – rozwiązania i odpowiedzi
Zadanie 15., strona 110, Matematyka z kluczem. Klasa 7. Zbiór zadań - rozwiązania i odpowiedzi
Zadanie 5, strona 257, Matematyka z plusem. Klasa 2. Podręcznik. Zakres rozszerzony – rozwiązania i odpowiedzi
Zadanie 11., strona 174, Matematyka wokół nas. Klasa 7. Podręcznik - rozwiązania i odpowiedzi
Zadanie 70, strona 204, Matematyka. Klasa 2. Zbiór zadań. Zakres rozszerzony – rozwiązania i odpowiedzi
Zadanie 2, strona 106, Matematyka z kluczem. Klasa 8. Zeszyt ćwiczeń - rozwiązania i odpowiedzi
Zadanie 25, strona 38, Matematyka z kluczem. Klasa 6. Zbiór zadań - rozwiązania i odpowiedzi
Zadanie 2., strona 46, Matematyka. Klasa 6. Zeszyt ćwiczeń. Część 2 - rozwiązania i odpowiedzi
Zadanie 11., strona 140, Matematyka z kluczem. Klasa 8. Zbiór zadań – rozwiązania i odpowiedzi
Ćwiczenie 11, strona 52, Matematyka. Klasa 4. Zeszyt ćwiczeń. Część 1 - rozwiązania i odpowiedzi
REKLAMA
Skul
Zadania z tego działu
1. Liczby i wyrażenia
5
Liczby dodatnie i ujemne
5

Zadanie 1

5

Zadanie 2

5

Zadanie 3

5

Zadanie 4

5

Zadanie 5

6

Zadanie 6

6

Zadanie 7

6

Zadanie 8

6
2. Potęgi i pierwiastki
7

Zadanie 1

7

Zadanie 2

7

Zadanie 3

7

Zadanie 4

7

Zadanie 5

8

Zadanie 6

8

Zadanie 7

8

Zadanie 8

9

Zadanie 9

9

Zadanie 10

9
3. Działania na liczbach
9

Zadanie 1

9

Zadanie 2

9

Zadanie 3

10

Zadanie 4

10

Zadanie 5

10

Zadanie 6

11

Zadanie 7

11

Zadanie 8

11

Zadanie 9

12

Zadanie 10

12
4. Obliczenia procentowe
12

Zadanie 1

12

Zadanie 2

12

Zadanie 3

13

Zadanie 4

13

Zadanie 5

13

Zadanie 6

13

Zadanie 7

14

Zadanie 8

14

Zadanie 9

14

Zadanie 10

14

Zadanie 11

15
5. Diagramy procentowe
15

Zadanie 1

15

Zadanie 2

16

Zadanie 3

16

Zadanie 4

17

Zadanie 5

18

Zadanie 6

19

Zadanie 7

20
6. Wyrażenia algebraiczne
20

Zadanie 1

20

Zadanie 2

21

Zadanie 3

21

Zadanie 4

21

Zadanie 5

22

Zadanie 6

22

Zadanie 7

22

Zadanie 8

22
7. Równania
23

Zadanie 1

23

Zadanie 2

23

Zadanie 3

23

Zadanie 4

24

Zadanie 5

24

Zadanie 6

25

Zadanie 7

25

Zadanie 8

25
Pełny spis treści
Skul
Artboard 1
Skul.pl
  • Napisz do nas
  • FAQ
  • Mapa Serwisu
  • Google Play
  • App Store

Korzystanie z portalu oznacza akceptację Regulaminu.
Polityka prywatności. Ustawienia preferencji. Copyright: INTERIA.PL 1999-2023 Wszystkie prawa zastrzeżone.