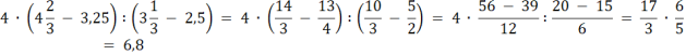
Wartość podanego wyrażenia to 25% szukanej liczby, znajdź jej wartość.
25% to
Zadanie 3.
33Zadanie 4.
33Zadanie 5.
34Zadanie 6.
34Zadanie 7.
35Zadanie 8.
35Ćwiczenie Ćwiczenie 2.
36Ćwiczenie Ćwiczenie 3.
36Zadanie 1.
37Zadanie 2.
38Zadanie 3.
38Zadanie 4.
38Zadanie 12.
40Zadanie 16.
40Zadanie 17.
41Ćwiczenie Ćwiczenie 1.
41Zadanie 1.
42Zadanie 2.
42Zadanie 3.
42Zadanie 4.
42Zadanie 9.
43Zadanie 12.
44Ćwiczenie Ćwiczenie 1.
44Zadanie 1.
46Zadanie 2.
46Zadanie 13.
47Zadanie 16.
47Zadanie 17.
48Zadanie 1.
49Zadanie 4.
50Zadanie 1.
54