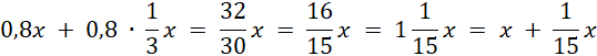
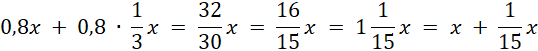
Oblicz, czy cena początkowa uległa zmianie.
x – początkowa cena towaru
0,8x – cena po pierwszej obniżce
Zadanie 3.
33Zadanie 4.
33Zadanie 5.
34Zadanie 6.
34Zadanie 7.
35Zadanie 8.
35Ćwiczenie Ćwiczenie 2.
36Ćwiczenie Ćwiczenie 3.
36Zadanie 1.
37Zadanie 2.
38Zadanie 3.
38Zadanie 4.
38Zadanie 12.
40Zadanie 16.
40Zadanie 17.
41Ćwiczenie Ćwiczenie 1.
41Zadanie 1.
42Zadanie 2.
42Zadanie 3.
42Zadanie 4.
42Zadanie 9.
43Zadanie 12.
44Ćwiczenie Ćwiczenie 1.
44Zadanie 1.
46Zadanie 2.
46Zadanie 13.
47Zadanie 16.
47Zadanie 17.
48Zadanie 1.
49Zadanie 4.
50Zadanie 1.
54