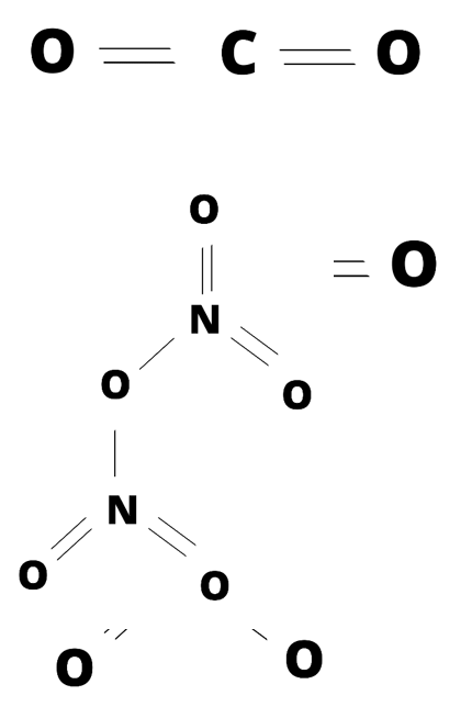
W tym zadaniu narysuj w zeszycie wzory strukturalne związków o wzorach: CO2, SO2, SO3, N2O5. Podaj och nazwy.
Wzory strukturalne:
CO2 – tlenek węgla(IV),
SO2 – tlenek siarki(IV),
SO3 – tlenek siarki(VI),
N2O5 – tlenek azotu(V).
Ćwiczenie 1.
Ćwiczenie 2.
Ćwiczenie 3.
Ćwiczenie 4.
Ćwiczenie 5.
Ćwiczenie 6.
Ćwiczenie 7.
Ćwiczenie 8.
Ćwiczenie 9.
Ćwiczenie 10.
Ćwiczenie 11.
Ćwiczenie 12.