W tym zadaniu napisz w zeszycie wzór sumaryczny oraz narysuj wzór strukturalny jednej cząsteczki.
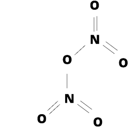
Dwie cząsteczki pewnej substancji są zbudowane z 4 atomów azotu i 10 atomów tlenu.
Jedna cząsteczka jest zbudowana z 2 atomów azotu i 5 atomów tlenu, więc jej wzór sumaryczny wygląda następująco: N2O5.
Wzór strukturalny jednej cząsteczki:
Ćwiczenie 1.
Ćwiczenie 2.
Ćwiczenie 3.
Ćwiczenie 4.
Ćwiczenie 5.
Ćwiczenie 6.
Ćwiczenie 7.
Ćwiczenie 8.
Ćwiczenie 9.
Ćwiczenie 10.
Ćwiczenie 11.
Ćwiczenie 12.