Skul.pl
  • Opracowania zadań z podręczników
  • Chemia. Klasa 1. Podręcznik. Zakres podstawowy. Część 1 – rozwiązania i odpowiedzi
  • Pytanie 10

Chemia. Klasa 1. Podręcznik. Zakres podstawowy. Część 1 – rozwiązania i odpowiedzi

Podręcznik, Wydawnictwo: OE Pazdro
Poprzednie

Pytanie 10 - strona 159

Następne

Zadanie

Przedstaw wzory elektronowe: SeO2, SeO3, O3, N2O, SOCl2 i podaj, jaka jest liczba wiązań σ oraz π w ich cząsteczkach.

Rozwiązanie

SeO2: 2 σ i 1 π

SeO3: 3 σ i 1 π

O3: 2 σ i 1 π

N2O: 2 σ i 2 π

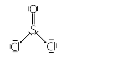
SOCl2: 3 σ i 0 π

SeO2:

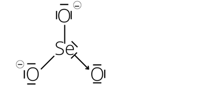
SO32-:

O3:

N2O:

SOCl2:

Skul
Poprzednie
Następne

Chemia - wybrane pytania

Ćwiczenie 7., strona 91, Chemia Nowej Ery. Klasa 8. Zeszyt ćwiczeń – rozwiązania i odpowiedzi
Zadanie 23, strona 17, Matura z chemii. Formuła 2015. Poziom rozszerzony. Czerwiec 2022
Zadanie 5.4.32., strona 88, Chemia. Klasa 7,8. Zbiór zadań- rozwiązania i odpowiedzi
Zadanie 5.3, strona 114, To jest chemia 1. Maturalne karty pracy z kartami laboratoryjnymi dla liceum ogólnokształcącego i technikum. Zakres rozszerzony. Wersja 2019 - rozwiązania i odpowiedzi
Zadanie 1., strona 16, Chemia. Klasa 8. Zeszyt ćwiczeń- rozwiązania i odpowiedzi
Ćwiczenie 4, strona 154, Chemia. Klasa 2. Podręcznik. Zakres podstawowy. Wersja 2023 - rozwiązania i odpowiedzi
Zadanie 4., strona 31, Chemia. Klasa 2. Podręcznik. Zakres rozszerzony. Wersja 2023 - rozwiązania i odpowiedzi
Ćwiczenie 8., strona 272, To jest chemia. Klasa 1. Podręcznik. Zakres rozszerzony - rozwiązania i odpowiedzi
Ćwiczenie *4.111., strona 88, Chemia. Klasa 3. Zbiór zadań. Zakres rozszerzony - rozwiązania i odpowiedzi
Zadanie do rozwiązania 14., strona 42, Chemia. Klasa 2. Zakres podstawowy. Podręcznik- rozwiązania i odpowiedzi
REKLAMA
Skul
Zadania z tego działu
Zbiór zadań. Część 1. Wiązanie chemiczne
158

Zadania przypisane do działu

Pytanie 1

158

Pytanie 2

158

Pytanie 3

158

Pytanie 4

158

Pytanie 5

159

Pytanie 6

159

Pytanie 7

159

Pytanie 8

159

Pytanie 9

159

Pytanie 10

159

Pytanie 11

159

Pytanie 12

159

Zadanie 13

159

Pytanie 14

159

Pytanie 15

160

Pytanie 16

160

Pytanie 17

160

Pytanie 18

160

Pytanie 19

160

Pytanie 20

161
Pełny spis treści
Skul
Artboard 1
Skul.pl
  • Napisz do nas
  • FAQ
  • Mapa Serwisu
  • Google Play
  • App Store

Korzystanie z portalu oznacza akceptację Regulaminu.
Polityka prywatności. Ustawienia preferencji. Copyright: INTERIA.PL 1999-2023 Wszystkie prawa zastrzeżone.