Skul.pl
  • Opracowania zadań z podręczników
  • Chemia. Klasa 1. Podręcznik. Zakres podstawowy. Część 1 – rozwiązania i odpowiedzi
  • Pytanie 16

Chemia. Klasa 1. Podręcznik. Zakres podstawowy. Część 1 – rozwiązania i odpowiedzi

Podręcznik, Wydawnictwo: OE Pazdro
Poprzednie

Pytanie 16 - strona 160

Następne

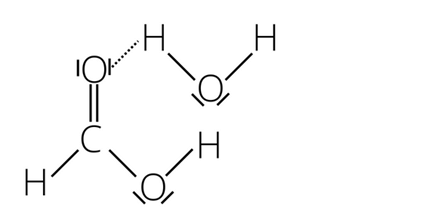
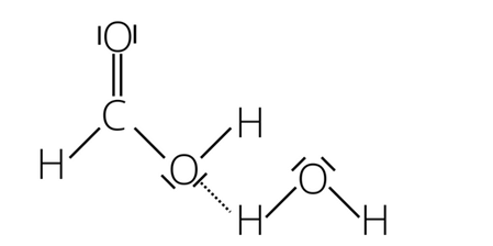
Zadanie

W tym zadaniu skorzystaj z wiedzy na temat tworzenia się wiązań wodorowych i narysuj możliwości tworzenia się ich między kwasem metanowym a wodą.

Rozwiązanie

Skul

Wyjaśnienie

Wiązanie wodorowe może utworzyć się między atomem wodoru oraz tlenu, jeśli atom wodoru związany jest wiązaniem kowalencyjnym z atomem tlenu.

Poprzednie
Następne

Chemia - wybrane pytania

Ćwiczenie 5, strona 294, Chemia. Klasa 3. Podręcznik. Zakres rozszerzony- rozwiązania i odpowiedzi
Ćwiczenie 2.28., strona 42, Chemia. Klasa 3. Zbiór zadań. Zakres rozszerzony - rozwiązania i odpowiedzi
Zadanie 1, strona 203, Chemia. Klasa 3 szkoły średniej. Podręcznik. Zakres rozszerzony- odpowiedzi i rozwiązania
Ćwiczenie 1.35., strona 26, Chemia. Klasa 3. Zbiór zadań. Zakres rozszerzony - rozwiązania i odpowiedzi
Zadanie sprawdzające 4., strona 27, Chemia. Klasa 2. Podręcznik. Zakres rozszerzony. Wersja 2023 - rozwiązania i odpowiedzi
Pytanie 2, strona 62, Chemia. Klasa 1. Podręcznik. Część 1. Zakres rozszerzony - rozwiązania i odpowiedzi
Zadanie 1., strona 28, Chemia Nowej Ery. Klasa 7. Podręcznik - rozwiązania i odpowiedzi
Ćwiczenie 2, strona 162, Chemia. Klasa 2. Podręcznik. Zakres podstawowy. Wersja 2020 – rozwiązania i odpowiedzi
Zadanie 4, strona 106, Chemia. Klasa 3. Podręcznik. Zakres rozszerzony. Wersja 2024 - rozwiązania i odpowiedzi
Zadanie 17, strona 243, Chemia. Klasa 3. Podręcznik. Zakres podstawowy – rozwiązania i odpowiedzi
REKLAMA
Skul
Zadania z tego działu
Zbiór zadań. Część 1. Wiązanie chemiczne
158

Zadania przypisane do działu

Pytanie 1

158

Pytanie 2

158

Pytanie 3

158

Pytanie 4

158

Pytanie 5

159

Pytanie 6

159

Pytanie 7

159

Pytanie 8

159

Pytanie 9

159

Pytanie 10

159

Pytanie 11

159

Pytanie 12

159

Zadanie 13

159

Pytanie 14

159

Pytanie 15

160

Pytanie 16

160

Pytanie 17

160

Pytanie 18

160

Pytanie 19

160

Pytanie 20

161
Pełny spis treści
Skul
Artboard 1
Skul.pl
  • Napisz do nas
  • FAQ
  • Mapa Serwisu
  • Google Play
  • App Store

Korzystanie z portalu oznacza akceptację Regulaminu.
Polityka prywatności. Ustawienia preferencji. Copyright: INTERIA.PL 1999-2023 Wszystkie prawa zastrzeżone.