Skul.pl
  • Opracowania zadań z podręczników
  • Chemia. Klasa 1. Podręcznik. Zakres podstawowy. Część 1 – rozwiązania i odpowiedzi
  • Pytanie 18

Chemia. Klasa 1. Podręcznik. Zakres podstawowy. Część 1 – rozwiązania i odpowiedzi

Podręcznik, Wydawnictwo: OE Pazdro
Poprzednie

Pytanie 18 - strona 160

Następne

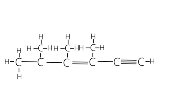
Zadanie

W tym zadaniu przestaw wszystkie wiązania występujące w przedstawionej cząsteczce, a następnie podaj liczbę wiązań σ i π.

Rozwiązanie

zoom

σ: 21

π: 3

Skul

Wyjaśnienie

Wiązanie σ to wiązanie pojedyncze, a w wiązaniu wielokrotnym jedno z tych wiązań. Pozostałe z wiązań wielokrotnych to wiązania π.

Poprzednie
Następne

Chemia - wybrane pytania

Ćwiczenie *14.22., strona 262, Chemia. Klasa 3. Zbiór zadań. Zakres rozszerzony - rozwiązania i odpowiedzi
Zadanie sprawdzające 1., strona 197, Chemia. Klasa 2. Podręcznik. Zakres rozszerzony - rozwiązania i odpowiedzi
Zadanie 2., strona 99, Chemia. Klasa 1. Zbiór zadań. Zakres rozszerzony- rozwiązania i odpowiedzi
Zadanie 3.3.32., strona 48, Chemia. Klasa 7,8. Zbiór zadań- rozwiązania i odpowiedzi
Zadanie 25, strona 5, Matura z chemii. Formuła 2023. Poziom rozszerzony. Grudzień 2022
Zadanie 7.3.29., strona 132, Chemia. Klasa 7,8. Zbiór zadań- rozwiązania i odpowiedzi
Zadanie 1., strona 347, Chemia. Klasa 2. Podręcznik. Zakres rozszerzony. Część 2 - rozwiązania i odpowiedzi
Ćwiczenie 81., strona 325, To jest chemia. Podręcznik dla szkół ponadpodstawowych. Klasa 2. Zakres rozszerzony- rozwiązania i odpowiedzi
Ćwiczenie 1, strona 14, Chemia. Klasa 2. Podręcznik. Zakres podstawowy. Wersja 2023 - rozwiązania i odpowiedzi
Ćwiczenie 12., strona 160, Chemia. Klasa 7. Podręcznik- rozwiązania i odpowiedzi
REKLAMA
Skul
Zadania z tego działu
Zbiór zadań. Część 1. Wiązanie chemiczne
158

Zadania przypisane do działu

Pytanie 1

158

Pytanie 2

158

Pytanie 3

158

Pytanie 4

158

Pytanie 5

159

Pytanie 6

159

Pytanie 7

159

Pytanie 8

159

Pytanie 9

159

Pytanie 10

159

Pytanie 11

159

Pytanie 12

159

Zadanie 13

159

Pytanie 14

159

Pytanie 15

160

Pytanie 16

160

Pytanie 17

160

Pytanie 18

160

Pytanie 19

160

Pytanie 20

161
Pełny spis treści
Skul
Artboard 1
Skul.pl
  • Napisz do nas
  • FAQ
  • Mapa Serwisu
  • Google Play
  • App Store

Korzystanie z portalu oznacza akceptację Regulaminu.
Polityka prywatności. Ustawienia preferencji. Copyright: INTERIA.PL 1999-2023 Wszystkie prawa zastrzeżone.