Skul.pl
  • Opracowania zadań z podręczników
  • Chemia. Klasa 1. Podręcznik. Zakres podstawowy. Część 1 – rozwiązania i odpowiedzi
  • Pytanie 9

Chemia. Klasa 1. Podręcznik. Zakres podstawowy. Część 1 – rozwiązania i odpowiedzi

Podręcznik, Wydawnictwo: OE Pazdro
Poprzednie

Pytanie 9 - strona 159

Następne

Zadanie

Przedstaw wzory strukturalne podanych cząsteczek i podaj liczbę poszczególnych wiązań.

Rozwiązanie

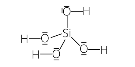
H4SiO4: 8σ i 0π

CH2O: 3σ i 1π

N2O3: 4σ i 2π

HClO: 2σ i 0π

OF2: 2σ i 0π

H4SiO4:

CH2O:

N2O3:

HClO:

OF2:

Skul
Poprzednie
Następne

Chemia - wybrane pytania

Ćwiczenie 7, strona 30, Chemia. Klasa 2. Podręcznik. Zakres podstawowy. Wersja 2023 - rozwiązania i odpowiedzi
Zadanie 1, strona 60, Ciekawa chemia. Klasa 8. Zeszyt ćwiczeń – rozwiązania i odpowiedzi
Zadanie 6.2.39., strona 106, Chemia. Klasa 7,8. Zbiór zadań- rozwiązania i odpowiedzi
Ćwiczenie 4., strona 181, To jest chemia. Klasa 1. Podręcznik. Zakres rozszerzony - rozwiązania i odpowiedzi
Ćwiczenie 1., strona 35, Świat chemii. Klasa 8. Zeszyt ćwiczeń – rozwiązania i odpowiedzi
Ćwiczenie 2.91., strona 50, Chemia. Klasa 3. Zbiór zadań. Zakres rozszerzony - rozwiązania i odpowiedzi
Zadanie 3, strona 68, Chemia. Klasa 8. Podręcznik – rozwiązania i odpowiedzi
Ćwiczenie 3., strona 199, Świat Chemii. Klasa 7. Podręcznik - rozwiązania i odpowiedzi
Zadanie 8., strona 208, Chemia. Klasa 3. Podręcznik. Zakres rozszerzony. Część 3 – rozwiązania i odpowiedzi
Ćwiczenie *5.65., strona 126, Chemia. Klasa 3. Zbiór zadań. Zakres rozszerzony - rozwiązania i odpowiedzi
REKLAMA
Skul
Zadania z tego działu
Zbiór zadań. Część 1. Wiązanie chemiczne
158

Zadania przypisane do działu

Pytanie 1

158

Pytanie 2

158

Pytanie 3

158

Pytanie 4

158

Pytanie 5

159

Pytanie 6

159

Pytanie 7

159

Pytanie 8

159

Pytanie 9

159

Pytanie 10

159

Pytanie 11

159

Pytanie 12

159

Zadanie 13

159

Pytanie 14

159

Pytanie 15

160

Pytanie 16

160

Pytanie 17

160

Pytanie 18

160

Pytanie 19

160

Pytanie 20

161
Pełny spis treści
Skul
Artboard 1
Skul.pl
  • Napisz do nas
  • FAQ
  • Mapa Serwisu
  • Google Play
  • App Store

Korzystanie z portalu oznacza akceptację Regulaminu.
Polityka prywatności. Ustawienia preferencji. Copyright: INTERIA.PL 1999-2023 Wszystkie prawa zastrzeżone.