Skul.pl
  • Opracowania zadań z podręczników
  • Chemia. Klasa 1. Podręcznik. Zakres podstawowy. Część 1 – rozwiązania i odpowiedzi
  • Pytanie 11

Chemia. Klasa 1. Podręcznik. Zakres podstawowy. Część 1 – rozwiązania i odpowiedzi

Podręcznik, Wydawnictwo: OE Pazdro
Poprzednie

Pytanie 11 - strona 159

Następne

Zadanie

Przedstaw wzory elektronowe: H2SO3, H2SeO4, HPO3, H3PO4, HBrO3 i podaj, jaka jest liczba wiązań σ oraz π w ich cząsteczkach.

Rozwiązanie

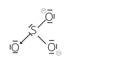
H2SO3: 5 σ i 0 π

H2SeO4: 6 σ i 0 π

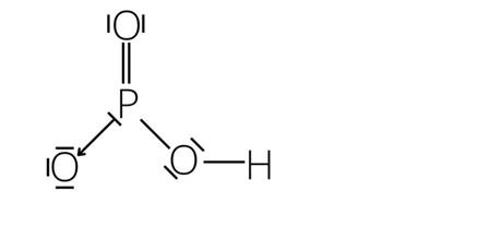
HPO3: 4 σ i 1 π

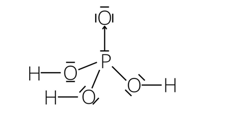
H3PO4: 7 σ i 0 π

HBrO3: 4 σ i 0 π

H2SO3:

H2SeO4:

HPO3:

H3PO4:

HBrO3:

Skul

Wyjaśnienie

Pierwiastki tworzą wiązania kowalencyjne, aby osiągnąć oktet lub dublet elektronowy.

Poprzednie
Następne

Chemia - wybrane pytania

Zadanie sprawdzające 3., strona 203, Chemia. Klasa 2. Podręcznik. Zakres rozszerzony - rozwiązania i odpowiedzi
Zadanie 1, strona 20, Ciekawa chemia. Klasa 8. Zeszyt ćwiczeń – rozwiązania i odpowiedzi
Zadanie 15., strona 142, Świat chemii. Klasa 8. Podręcznik – rozwiązania i odpowiedzi
Ćwiczenie 15.6., strona 15, Chemia. Zbiór zadań. Klasa 2. Zakres podstawowy i rozszerzony- rozwiązania i odpowiedzi
Zadanie 6., strona 67, Chemia. Klasa 8. Zeszyt ćwiczeń- rozwiązania i odpowiedzi
Zadanie 15, strona 243, Świat chemii. Klasa 8. Podręcznik – rozwiązania i odpowiedzi
Zadanie podsumowujące 8., strona 72, Chemia. Klasa 2. Podręcznik. Zakres rozszerzony. Wersja 2023 - rozwiązania i odpowiedzi
Zadanie 1, strona 201, Chemia. Klasa 3. Podręcznik. Zakres podstawowy – rozwiązania i odpowiedzi
Zadanie 6., strona 111, Chemia. Klasa 1. Zbiór zadań. Zakres rozszerzony- rozwiązania i odpowiedzi
Zadanie 6, strona 180, Chemia. Klasa 8. Podręcznik – rozwiązania i odpowiedzi
REKLAMA
Skul
Zadania z tego działu
Zbiór zadań. Część 1. Wiązanie chemiczne
158

Zadania przypisane do działu

Pytanie 1

158

Pytanie 2

158

Pytanie 3

158

Pytanie 4

158

Pytanie 5

159

Pytanie 6

159

Pytanie 7

159

Pytanie 8

159

Pytanie 9

159

Pytanie 10

159

Pytanie 11

159

Pytanie 12

159

Zadanie 13

159

Pytanie 14

159

Pytanie 15

160

Pytanie 16

160

Pytanie 17

160

Pytanie 18

160

Pytanie 19

160

Pytanie 20

161
Pełny spis treści
Skul
Artboard 1
Skul.pl
  • Napisz do nas
  • FAQ
  • Mapa Serwisu
  • Google Play
  • App Store

Korzystanie z portalu oznacza akceptację Regulaminu.
Polityka prywatności. Ustawienia preferencji. Copyright: INTERIA.PL 1999-2023 Wszystkie prawa zastrzeżone.