W tym zadaniu musisz określić, jaka ilość węgla jest potrzebna do zajścia opisanej reakcji.
równanie rozkładu węglanu magnezu:
MgCO3 → MgO + CO2
proporcje:
21 g MgCO3 odpowiada x g CO2
84u MgCO3 odpowiada 44u CO2
84x = 924 / : 84
x = 11 g CO2
równanie otrzymywania dwutlenku węgla:
C + O2 → CO2
proporcje:
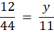
12u C odpowiada 44u CO2
y g C odpowiada 11 g CO2
44y = 132 / : 44
y = 3 g C
Odpowiedź: Trzeba spalić 3 g węgla.
Rozpisz równanie reakcji chemicznej. W tym równaniu nie trzeba dopisywać dodatkowych współczynników stechiometrycznych, ponieważ ilość atomów wszystkich pierwiastków jest taka sama z każdej ze stron. Za pomocą proporcji zestaw ze sobą informacje o masach z treści zadania (niewiadomą masy CO2 z 21 g MgCO3) oraz informacje o ich masach atomowych/cząsteczkowych na podstawie układu okresowego pierwiastków, które biorą udział w tej reakcji. Oblicz x. Wynik to ilość dwutlenku węgla powstałego w wyniku spalania węgla, dlatego należy ułożyć kolejne proporcje. Zestaw ze sobą: masę atomową węgla (12u) z masą cząsteczkową dwutlenku węgla (CO2) oraz ich masy podane w treści zadania, z których niewiadomą będzie masa węgla. Oblicz y.
Zadanie 2.1.1.
23Zadanie 2.1.2.
23Zadanie 2.1.3.
23Zadanie 2.1.4.
23Zadanie 2.1.5.
23Zadanie 2.1.7.
23Zadanie 2.1.8.
24Zadanie 2.1.9.
24Zadanie 2.1.12.
25Zadanie 2.1.13.
25Zadanie 2.1.14.
25Zadanie 2.1.17.
25Zadanie 2.1.18.
25Zadanie 2.1.19.
25Zadanie 2.1.21.
25Zadanie 2.1.22.
26Zadanie 2.1.23.
26Zadanie 2.2.1.
26Zadanie 2.2.2.
26Zadanie 2.2.3.
26Zadanie 2.2.4.
27Zadanie 2.2.5.
27Zadanie 2.2.6.
27Zadanie 2.2.7.
27Zadanie 2.2.8.
27Zadanie 2.2.16.
28Zadanie 2.2.17.
28Zadanie 2.2.18.
28Zadanie 2.2.19.
28Zadanie 2.2.20.
28Zadanie 2.2.21.
28Zadanie 2.2.22.
28Zadanie 2.2.23.
29Zadanie 2.2.31.
32Zadanie 2.2.32.
32Zadanie 2.2.38.
32Zadanie 2.2.40.
32Zadanie 2.3.1.
32Zadanie 2.3.2.
32Zadanie 2.3.3.
33Zadanie 2.3.4.
33Zadanie 2.3.5.
33Zadanie 2.3.6.
33Zadanie 2.3.7.
33Zadanie 2.3.8.
33Zadanie 2.3.9.
33Zadanie 2.3.10.
33Zadanie 2.3.11.
33Zadanie 2.3.14.
34Zadanie 2.3.20.
35Zadanie 2.3.23.
38Zadanie 2.3.25.
38Zadanie 2.3.29.
38Zadanie 2.3.33.
38