W tym zadaniu musisz określić ilość tlenku wapnia, który powstanie po zajściu opisanej reakcji.
równanie reakcji chemicznej:
CaCO3→ CaO + CO2
proporcje:
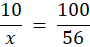
10 g CaCO3 odpowiada x g CaO
100u CaCO3 odpowiada 56u
100x = 560
x = 5,6 g CaO
Rozpisz równanie reakcji chemicznej. W przypadku tego równania nie trzeb dopisywać dodatkowych współczynników. Za pomocą proporcji zestaw ze sobą informacje o masach z treści zadania (niewiadomą CaO z 10 g CaCO3) oraz informacje o ich masach cząsteczkowych na podstawie mas atomowych z układu okresowego pierwiastków, które biorą udział w tej reakcji. Oblicz x.
Zadanie 2.1.1.
23Zadanie 2.1.2.
23Zadanie 2.1.3.
23Zadanie 2.1.4.
23Zadanie 2.1.5.
23Zadanie 2.1.7.
23Zadanie 2.1.8.
24Zadanie 2.1.9.
24Zadanie 2.1.12.
25Zadanie 2.1.13.
25Zadanie 2.1.14.
25Zadanie 2.1.17.
25Zadanie 2.1.18.
25Zadanie 2.1.19.
25Zadanie 2.1.21.
25Zadanie 2.1.22.
26Zadanie 2.1.23.
26Zadanie 2.2.1.
26Zadanie 2.2.2.
26Zadanie 2.2.3.
26Zadanie 2.2.4.
27Zadanie 2.2.5.
27Zadanie 2.2.6.
27Zadanie 2.2.7.
27Zadanie 2.2.8.
27Zadanie 2.2.16.
28Zadanie 2.2.17.
28Zadanie 2.2.18.
28Zadanie 2.2.19.
28Zadanie 2.2.20.
28Zadanie 2.2.21.
28Zadanie 2.2.22.
28Zadanie 2.2.23.
29Zadanie 2.2.31.
32Zadanie 2.2.32.
32Zadanie 2.2.38.
32Zadanie 2.2.40.
32Zadanie 2.3.1.
32Zadanie 2.3.2.
32Zadanie 2.3.3.
33Zadanie 2.3.4.
33Zadanie 2.3.5.
33Zadanie 2.3.6.
33Zadanie 2.3.7.
33Zadanie 2.3.8.
33Zadanie 2.3.9.
33Zadanie 2.3.10.
33Zadanie 2.3.11.
33Zadanie 2.3.14.
34Zadanie 2.3.20.
35Zadanie 2.3.23.
38Zadanie 2.3.25.
38Zadanie 2.3.29.
38Zadanie 2.3.33.
38