W tym zadaniu musisz określić, jaka ilość siarki jest potrzebna do zajścia opisanej reakcji.
równanie reakcji chemicznej:
S + 2Cu → Cu2S
proporcje:
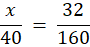
x g siarki odpowiada 40 g siarczku miedzi(I)
32u siarki odpowiadają 160u siarczku siarki(I)
160x = 1280 / : 160
x = 8 g siarki
Odpowiedź: Trzeba wziąć 8 g siarki.
Rozpisz równanie reakcji chemicznej. Pamiętaj, aby dobrać odpowiednie współczynniki stechiometryczne. Za pomocą proporcji zestaw ze sobą masy podane w treści zadania (niewiadomą masę siarki z 40 g siarczku miedzi(I)) oraz informacje o masach cząsteczkowych na podstawie mas atomowych z układu okresowego pierwiastków, które biorą udział w tej reakcji. Oblicz x.
Zadanie 2.1.1.
23Zadanie 2.1.2.
23Zadanie 2.1.3.
23Zadanie 2.1.4.
23Zadanie 2.1.5.
23Zadanie 2.1.7.
23Zadanie 2.1.8.
24Zadanie 2.1.9.
24Zadanie 2.1.12.
25Zadanie 2.1.13.
25Zadanie 2.1.14.
25Zadanie 2.1.17.
25Zadanie 2.1.18.
25Zadanie 2.1.19.
25Zadanie 2.1.21.
25Zadanie 2.1.22.
26Zadanie 2.1.23.
26Zadanie 2.2.1.
26Zadanie 2.2.2.
26Zadanie 2.2.3.
26Zadanie 2.2.4.
27Zadanie 2.2.5.
27Zadanie 2.2.6.
27Zadanie 2.2.7.
27Zadanie 2.2.8.
27Zadanie 2.2.16.
28Zadanie 2.2.17.
28Zadanie 2.2.18.
28Zadanie 2.2.19.
28Zadanie 2.2.20.
28Zadanie 2.2.21.
28Zadanie 2.2.22.
28Zadanie 2.2.23.
29Zadanie 2.2.31.
32Zadanie 2.2.32.
32Zadanie 2.2.38.
32Zadanie 2.2.40.
32Zadanie 2.3.1.
32Zadanie 2.3.2.
32Zadanie 2.3.3.
33Zadanie 2.3.4.
33Zadanie 2.3.5.
33Zadanie 2.3.6.
33Zadanie 2.3.7.
33Zadanie 2.3.8.
33Zadanie 2.3.9.
33Zadanie 2.3.10.
33Zadanie 2.3.11.
33Zadanie 2.3.14.
34Zadanie 2.3.20.
35Zadanie 2.3.23.
38Zadanie 2.3.25.
38Zadanie 2.3.29.
38Zadanie 2.3.33.
38