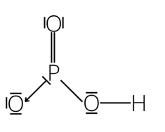
Podaj wzór elektronowy odpowiedniej cząsteczki, a następnie podaj ilość wiązań π.
Liczba wiązań, które powstały na skutek bocznego nakładania się atomowych przestrzeni orbitalnych: 1
Liczba wiązań, które powstały na skutek bocznego nakładania się atomowych przestrzeni orbitalnych to liczba wiązań π.
Pytanie 1
Podpunkt a)
Podpunkt b)
Podpunkt c)
Pytanie 2
Pytanie 3
Zadanie 1
Zadanie 2
Zadanie 3
Zadanie 4
Pytanie 5
Pytanie 6
Zadanie 7
Zadanie 8
Pytanie 10