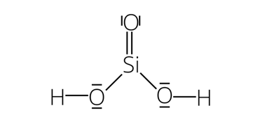
Na podstawie wzoru sumarycznego narysuj wzór strukturalny odpowiednich cząsteczek.
Atomy pierwiastków tworzą wiązania kowalencyjne w celu osiągnięcia oktetu lub dubletu elektronowego.
Pytanie 1
Podpunkt a)
Podpunkt b)
Podpunkt c)
Pytanie 2
Pytanie 3
Zadanie 1
Zadanie 2
Zadanie 3
Zadanie 4
Pytanie 5
Pytanie 6
Zadanie 7
Zadanie 8
Pytanie 10