W tym zadaniu musisz obliczyć ilość dm3 powietrza niezbędną do zajścia reakcji, w której czad utleni się do dwutlenku węgla.
gęstości dwutlenku węgla i czadu:
d CO2 = 1,977 g/dm3
d CO = 1,250 g/dm3
równanie reakcji:
2CO + O2à 2CO2
dane:
m CO = 100 g (z treści zadania)
m CO = 2∙ 12 + 2 ∙ 32 = 56 g (z równania reakcji)
za pomocą proporcji oblicz objętość tlenu, jakiej odpowiada 100 g czadu:
56 g CO odpowiada 22,4 dm3 O2
100 g CO odpowiada x dm3 O2
2240 = 56x / : 56
x = 40 dm3
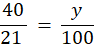
za pomocą proporcji oblicz, ile objętość powietrza, jeżeli 40 dm3 stanowi jego 21%:
40 dm3 O2 stanowi 21% powietrza
y dm3 stanowi 100% powietrza
21y = 4000 / : 21
y = 190 dm3 powietrza
Odpowiedź: Potrzebna objętość powietrza wynosi 190 dm3.
Zadanie 1.1.6.
7Zadanie 1.1.7.
7Zadanie 1.1.8.
7Zadanie 1.1.13.
8Zadanie 1.1.14.
8Zadanie 1.1.15.
8Zadanie 1.1.16.
8Zadanie 1.1.17.
8Zadanie 1.1.25.
9Zadanie 1.1.27.
10Zadanie 1.1.28.
10Zadanie 1.2.3.
11Zadanie 1.2.4.
11Zadanie 1.2.8.
12Zadanie 1.3.1.
13Zadanie 1.3.2.
13Zadanie 1.3.4.
13Zadanie 1.3.5.
14Zadanie 1.3.7.
14Zadanie 1.3.8.
14Zadanie 1.3.9.
14Zadanie 1.3.11.
15Zadanie 1.3.12.
15Zadanie 1.3.14.
15Zadanie 1.3.24.
17Zadanie 1.3.26.
17Zadanie 1.4.3.
18Zadanie 1.4.6.
18Zadanie 1.4.7.
18Zadanie 1.4.11.
19Zadanie 1.4.12.
19Zadanie 1.4.20.
20Zadanie 1.4.21.
21Zadanie 1.4.24.[WK2]
21