Zadanie

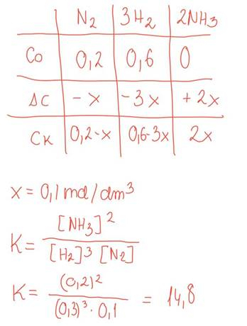
W celu wyznaczenia stężeniowej stałej równowagi syntezy amoniaku w temperaturze 𝑇 do reaktora o stałej pojemności wprowadzono azot i wodór. Początkowe stężenie azotu wynosiło 0,20 moldm⁻³, a wodoru 0,60 moldm⁻³. Po zamknięciu reaktora i utrzymaniu stałej temperatury zaszła reakcja:
N₂ + 3H₂
2NH₃.
Po pewnym czasie ciśnienie w reaktorze spadło do 75% wartości początkowej i przestało się zmieniać. Oblicz stężeniową stałą równowagi tej reakcji w temperaturze
𝑇.

Rozwiązanie

Wyjaśnienie