Skul.pl
  • Opracowania zadań z podręczników
  • To jest chemia 2. Maturalne karty pracy z kartami laboratoryjnymi dla liceum ogólnokształcącego i technikum. Klasa 2. Zakres rozszerzony- rozwiązania i odpowiedzi
  • Podpunkt b)

To jest chemia 2. Maturalne karty pracy z kartami laboratoryjnymi dla liceum ogólnokształcącego i technikum. Klasa 2. Zakres rozszerzony- rozwiązania i odpowiedzi

Zbiór zadań, Wydawnictwo: Nowa Era
Poprzednie

Zadanie 3, b) - strona 196

Następne

Zadanie

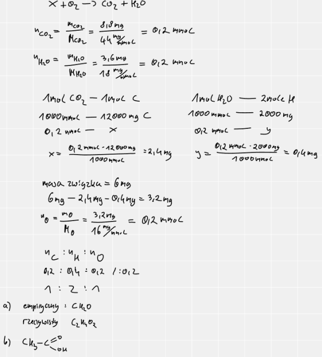
W tym podpunkcie musisz narysować wzór półstrukturalny tego związku chemicznego, wiedząc, że ma właściwości kwasowe, a jego sole w wyniku ogrzewania ulegają rozkładowi z wydzieleniem metanu CH4.

Rozwiązanie

Skul
Poprzednie
Następne

Chemia - wybrane pytania

Ćwiczenie 8., strona 207, Chemia Nowej Ery. Klasa 8. Podręcznik- rozwiązania i odpowiedzi
Zadanie 41.3, strona 28, To jest chemia 1. Maturalne karty pracy z kartami laboratoryjnymi dla liceum ogólnokształcącego i technikum. Zakres rozszerzony. Wersja 2019 - rozwiązania i odpowiedzi
Zadanie 8.1.19., strona 35, Chemia. Klasa 8. Zbiór zadań- rozwiązania i odpowiedzi
Zadanie 3., strona 184, Chemia. Klasa 1. Podręcznik. Zakres rozszerzony - rozwiązania i odpowiedzi
Zadanie 1., strona 80, Chemia. Klasa 1. Podręcznik. Zakres podstawowy - rozwiązania i odpowiedzi
Zadanie sprawdzające 3., strona 79, Chemia. Klasa 2. Podręcznik. Zakres rozszerzony. Wersja 2023 - rozwiązania i odpowiedzi
Zadanie 46., strona 135, Chemia. Klasa 1. Zbiór zadań. Zakres rozszerzony- rozwiązania i odpowiedzi
Ćwiczenie 6., strona 42, Chemia 2. Podręcznik dla szkół ponadpodstawowych. Klasa 2. Zakres rozszerzony- rozwiązania i odpowiedzi
Ćwiczenie 4, strona 12, Chemia. Klasa 2. Podręcznik. Zakres podstawowy. Wersja 2020 – rozwiązania i odpowiedzi
Ćwiczenie 8., strona 110, Chemia. Klasa 7-8. Zbiór zadań - rozwiązania i odpowiedzi
REKLAMA
Skul
Zadania z tego działu
3: Zestaw zadań maturalnych. Chemia organiczna
195

Zadania przypisane do działu

Zadanie 1

144

Podpunkt a)

195

Podpunkt b)

144

Zadanie 2

144

Podpunkt a)

196

Podpunkt b)

144

Zadanie 3

196

Podpunkt a)

196

Podpunkt b)

196

Zadanie 4

197

Zadanie 5

197

Zadanie 6

197

Zadanie 7

195

Podpunkt a)

195

Podpunkt b)

195

Podpunkt c)

195

Zadanie 8

198

Zadanie 9

199

Podpunkt a)

199

Podpunkt b)

199

Zadanie 10

199

Zadanie 11

199

Zadanie 12

200

Zadanie 13

200

Zadanie 14

200

Zadanie 15

201

Zadanie 16

201

Zadanie 17

201

Zadanie 18

201

Zadanie 19

202

Zadanie 20

202

Zadanie 21

203

Zadanie 22

203

Zadanie 23

204

Podpunkt a)

204

Podpunkt b)

204

Zadanie 24

204

Zadanie 25

205

Zadanie 26

205

Zadanie 27

205

Zadanie 28

206

Zadanie 29

206

Zadanie 30

207

Podpunkt a)

207

Podpunkt b)

207

Podpunkt c)

207
Pełny spis treści
Skul
Artboard 1
Skul.pl
  • Napisz do nas
  • FAQ
  • Mapa Serwisu
  • Google Play
  • App Store

Korzystanie z portalu oznacza akceptację Regulaminu.
Polityka prywatności. Ustawienia preferencji. Copyright: INTERIA.PL 1999-2023 Wszystkie prawa zastrzeżone.