Skul.pl
  • Opracowania zadań z podręczników
  • To jest chemia 2. Maturalne karty pracy z kartami laboratoryjnymi dla liceum ogólnokształcącego i technikum. Klasa 2. Zakres rozszerzony- rozwiązania i odpowiedzi
  • Zadanie 15

To jest chemia 2. Maturalne karty pracy z kartami laboratoryjnymi dla liceum ogólnokształcącego i technikum. Klasa 2. Zakres rozszerzony- rozwiązania i odpowiedzi

Zbiór zadań, Wydawnictwo: Nowa Era
Poprzednie

Zadanie 15 - strona 201

Następne

Zadanie

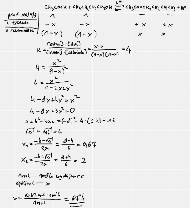
W tym zadaniu musisz obliczyć wydajność teoretyczną reakcji otrzymywania octanu butylu w wyniku estryfikacji prowadzonej w temperaturze 25°C.

Rozwiązanie

Komentarz: X2 odrzucamy, ponieważ wtedy stężenie równowagowe substratów byłoby mniejsze od 0, a to fizycznie niemożliwe.

Skul
Poprzednie
Następne

Chemia - wybrane pytania

Zadanie 15, strona 275, Chemia. Klasa 2. Podręcznik. Zakres podstawowy. Wersja 2023 - rozwiązania i odpowiedzi
Zadanie 12., strona 186, Chemia. Klasa 2. Podręcznik. Zakres podstawowy. Część 2 – rozwiązania i odpowiedzi
Ćwiczenie 1., strona 52, Chemia Nowej Ery. Klasa 8. Zeszyt ćwiczeń – rozwiązania i odpowiedzi
Ćwiczenie 1., strona 156, Chemia. Klasa 1. Podręcznik. Zakres rozszerzony - rozwiązania i odpowiedzi
Ćwiczenie 14.8., strona 62, Chemia. Zbiór zadań. Klasa 2. Zakres podstawowy i rozszerzony- rozwiązania i odpowiedzi
Ćwiczenie 3, strona 14, Chemia. Klasa 2. Podręcznik. Zakres podstawowy. Wersja 2023 - rozwiązania i odpowiedzi
Ćwiczenie 21.4., strona 82, Chemia. Zbiór zadań. Klasa 2. Zakres podstawowy i rozszerzony- rozwiązania i odpowiedzi
Zadanie 16., strona 14, Chemia. Klasa 1. Zbiór zadań. Zakres rozszerzony- rozwiązania i odpowiedzi
Ćwiczenie 2., strona 56, Świat chemii. Klasa 8. Podręcznik – rozwiązania i odpowiedzi
Ćwiczenie 4, strona 134, Chemia. Klasa 2. Podręcznik. Zakres podstawowy. Wersja 2023 - rozwiązania i odpowiedzi
REKLAMA
Skul
Zadania z tego działu
3: Zestaw zadań maturalnych. Chemia organiczna
195

Zadania przypisane do działu

Zadanie 1

144

Podpunkt a)

195

Podpunkt b)

144

Zadanie 2

144

Podpunkt a)

196

Podpunkt b)

144

Zadanie 3

196

Podpunkt a)

196

Podpunkt b)

196

Zadanie 4

197

Zadanie 5

197

Zadanie 6

197

Zadanie 7

195

Podpunkt a)

195

Podpunkt b)

195

Podpunkt c)

195

Zadanie 8

198

Zadanie 9

199

Podpunkt a)

199

Podpunkt b)

199

Zadanie 10

199

Zadanie 11

199

Zadanie 12

200

Zadanie 13

200

Zadanie 14

200

Zadanie 15

201

Zadanie 16

201

Zadanie 17

201

Zadanie 18

201

Zadanie 19

202

Zadanie 20

202

Zadanie 21

203

Zadanie 22

203

Zadanie 23

204

Podpunkt a)

204

Podpunkt b)

204

Zadanie 24

204

Zadanie 25

205

Zadanie 26

205

Zadanie 27

205

Zadanie 28

206

Zadanie 29

206

Zadanie 30

207

Podpunkt a)

207

Podpunkt b)

207

Podpunkt c)

207
Pełny spis treści
Skul
Artboard 1
Skul.pl
  • Napisz do nas
  • FAQ
  • Mapa Serwisu
  • Google Play
  • App Store

Korzystanie z portalu oznacza akceptację Regulaminu.
Polityka prywatności. Ustawienia preferencji. Copyright: INTERIA.PL 1999-2023 Wszystkie prawa zastrzeżone.