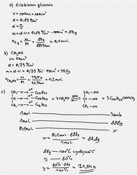
Komentarz: Ilość powstałego produktu obliczamy z tego substratu, którego był niedomiar. W tym zadaniu od razu widać, że niedomiar był triolenianu glicerolu. W trudniejszych przykładach należy podstawić do proporcji zadaną ilość moli substratu i obliczyć, czego faktycznie był niedomiar.