W tym zadaniu musisz obliczyć drogę.
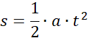
Droga w ruchu przyspieszonym:
Gdzie:
a – przyspieszenie, t – czas
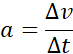
Przyspieszenie:
Δv – zmiana prędkości, Δt - czas
Ćwiczenie 3.1.
Ćwiczenie 3.2.
Ćwiczenie 3.3.
Ćwiczenie 3.4.
Ćwiczenie 3.5.
Ćwiczenie 3.6.
Ćwiczenie 3.7.
Ćwiczenie 3.8.
Ćwiczenie 3.9.
Podpunkt a)
Podpunkt b)
Ćwiczenie 3.10.
Ćwiczenie 3.11.
Ćwiczenie 3.12.
Podpunkt c)
Ćwiczenie 3.13.
Ćwiczenie 3.14.
Ćwiczenie 3.15.
Ćwiczenie 3.16.
Ćwiczenie 3.17.
Ćwiczenie 3.18.
Ćwiczenie 3.19.
Ćwiczenie 3.20.
Ćwiczenie 3.21.
Ćwiczenie 3.22.
Ćwiczenie 3.23.
Ćwiczenie 3.24.
Ćwiczenie 3.25.
Ćwiczenie 3.26.
Ćwiczenie 3.27.
Ćwiczenie 3.28.
Ćwiczenie 3.29.
Ćwiczenie 3.30.
Ćwiczenie 3.31.
Ćwiczenie 3.32.
Ćwiczenie 3.33.
Ćwiczenie 3.34.
Ćwiczenie 3.35.
Ćwiczenie 3.36.
Ćwiczenie 3.37.
Ćwiczenie 3.38.
Ćwiczenie 3.39.
Ćwiczenie 3.40.
Ćwiczenie 3.41.
Ćwiczenie 3.42.
Ćwiczenie 3.43.
Ćwiczenie 3.44.
Ćwiczenie 3.45.
Ćwiczenie 3.46.
Ćwiczenie 3.47.
Ćwiczenie 3.48.
Ćwiczenie 3.49.