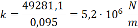
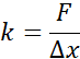
Współczynnik sprężystości sprężyny:
Gdzie:
F – siła, Δx – wychylenie z położenia równowagi
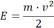
Energia kinetyczna:
Gdzie:
m – masa ciała, v - prędkość
Praca:
Gdzie:
F – siła, s – przemieszczenie
Energia kinetyczna = praca wykonana na zgniecenie
5,5 km/h = 1,53 m/s