Punkt 0 przyjmujemy na wysokości trampoliny, gdy nikt na niej nie stoi.
Gdy Justyna stoi na trampolinie siła grawitacji jest równoważona przez siłę sprężystości:
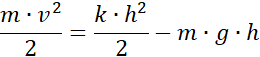
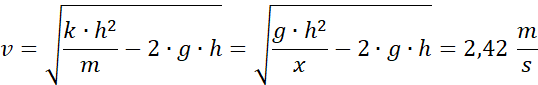
Energia mechaniczna w każdych dwóch punktach jest sobie równa.
Energia w punkcie 0 = energia w punkcie -0,6 m
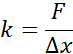
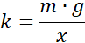
Współczynnik sprężystości sprężyny:
Gdzie:
F – siła, Δx – wychylenie z położenia równowagi
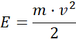
Energia kinetyczna:
Gdzie:
m – masa ciała, v - prędkość
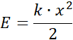
Energia potencjalna sprężystości:
Gdzie:
k – współczynnik sprężystości, x – wychylenie z położenia równowagi
Siła grawitacji:
Gdzie:
m – masa, g – przyspieszenie ziemskie
Energia potencjalna grawitacji:
h – to wysokość pod poziomem trampoliny = 0,6 m
x – to ugięcie trampoliny = 0,2 m
Gdy Justyna stała, działała na trampolinę siłą ciężkości.