W tym zadaniu musisz wykonać polecenia związane z wykresem.
2 cm – 2 N
Dla 16 cm:
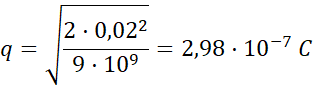
Siła elektrostatyczna (Prawo Coulomba):
Gdzie:
k – stała elektrostatyczna, Q,q – ładunki, r – odległość między ładunkami
Ćwiczenie 9.1.
Podpunkt a)
Podpunkt b)
Ćwiczenie 9.2.
Ćwiczenie 9.3.
Ćwiczenie 9.4.
Ćwiczenie 9.5.
Ćwiczenie 9.6.
Ćwiczenie 9.7.
Ćwiczenie 9.8.
Ćwiczenie 9.9.
Podpunkt c)
Podpunkt d)
Ćwiczenie 9.10.
Ćwiczenie 9.11.
Ćwiczenie 9.12.
Ćwiczenie 9.13.
Ćwiczenie 9.14.
Ćwiczenie 9.15.
Ćwiczenie 9.16.
Ćwiczenie 9.17.
Ćwiczenie 9.18.
Ćwiczenie 9.19.
Ćwiczenie 9.20.
Ćwiczenie 9.21.
Ćwiczenie 9.22.
Ćwiczenie 9.23.
Ćwiczenie 9.24.
Ćwiczenie 9.25.
Ćwiczenie 9.26.
Ćwiczenie 9.27.
Ćwiczenie 9.28.
Ćwiczenie 9.29.
Ćwiczenie 9.30.
Ćwiczenie 9.31.
Ćwiczenie 9.32.
Ćwiczenie 9.33.
Ćwiczenie 9.34.
Ćwiczenie 9.35.
Ćwiczenie 9.36.
Ćwiczenie 9.37.
Ćwiczenie 9.38.
Ćwiczenie 9.39.
Ćwiczenie 9.40.
Ćwiczenie 9.41.
Ćwiczenie 9.42.
Ćwiczenie 9.43.
Ćwiczenie 9.44.
Ćwiczenie 9.45.
Ćwiczenie 9.46.
Ćwiczenie 9.47.
Ćwiczenie 9.48.
Ćwiczenie 9.49.
Ćwiczenie 9.50.
Ćwiczenie 9.51.
Ćwiczenie 9.52.
Ćwiczenie 9.53.
Ćwiczenie 9.54.
Ćwiczenie 9.55.
Ćwiczenie 9.56.
Ćwiczenie 9.57.
Ćwiczenie 9.58.
Ćwiczenie 9.59.
Ćwiczenie 9.60.
Ćwiczenie 9.61.
Ćwiczenie 9.62.
Ćwiczenie 9.63.
Ćwiczenie 9.64.