W tym zadaniu musisz wykonać obliczenia.
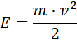
Energia kinetyczna:
Gdzie:
m – masa ciała, v - prędkość
Masa elektronu:
Masa protonu:
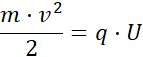
Ładunek:
E – energia, U - napięcie
Ćwiczenie 9.1.
Podpunkt a)
Podpunkt b)
Ćwiczenie 9.2.
Ćwiczenie 9.3.
Ćwiczenie 9.4.
Ćwiczenie 9.5.
Ćwiczenie 9.6.
Ćwiczenie 9.7.
Ćwiczenie 9.8.
Ćwiczenie 9.9.
Podpunkt c)
Podpunkt d)
Ćwiczenie 9.10.
Ćwiczenie 9.11.
Ćwiczenie 9.12.
Ćwiczenie 9.13.
Ćwiczenie 9.14.
Ćwiczenie 9.15.
Ćwiczenie 9.16.
Ćwiczenie 9.17.
Ćwiczenie 9.18.
Ćwiczenie 9.19.
Ćwiczenie 9.20.
Ćwiczenie 9.21.
Ćwiczenie 9.22.
Ćwiczenie 9.23.
Ćwiczenie 9.24.
Ćwiczenie 9.25.
Ćwiczenie 9.26.
Ćwiczenie 9.27.
Ćwiczenie 9.28.
Ćwiczenie 9.29.
Ćwiczenie 9.30.
Ćwiczenie 9.31.
Ćwiczenie 9.32.
Ćwiczenie 9.33.
Ćwiczenie 9.34.
Ćwiczenie 9.35.
Ćwiczenie 9.36.
Ćwiczenie 9.37.
Ćwiczenie 9.38.
Ćwiczenie 9.39.
Ćwiczenie 9.40.
Ćwiczenie 9.41.
Ćwiczenie 9.42.
Ćwiczenie 9.43.
Ćwiczenie 9.44.
Ćwiczenie 9.45.
Ćwiczenie 9.46.
Ćwiczenie 9.47.
Ćwiczenie 9.48.
Ćwiczenie 9.49.
Ćwiczenie 9.50.
Ćwiczenie 9.51.
Ćwiczenie 9.52.
Ćwiczenie 9.53.
Ćwiczenie 9.54.
Ćwiczenie 9.55.
Ćwiczenie 9.56.
Ćwiczenie 9.57.
Ćwiczenie 9.58.
Ćwiczenie 9.59.
Ćwiczenie 9.60.
Ćwiczenie 9.61.
Ćwiczenie 9.62.
Ćwiczenie 9.63.
Ćwiczenie 9.64.