W tym zadaniu musisz obliczyć energię.
Ładunek podzieli się na dwa kondensatory:
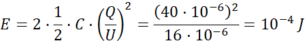
Energia zgromadzona w kondensatorze:
Gdzie:
C – pojemność kondensatora, U – napięcie między okładkami
Pojemność:
Q – ładunek, U – napięcie
Ćwiczenie 9.1.
Podpunkt a)
Podpunkt b)
Ćwiczenie 9.2.
Ćwiczenie 9.3.
Ćwiczenie 9.4.
Ćwiczenie 9.5.
Ćwiczenie 9.6.
Ćwiczenie 9.7.
Ćwiczenie 9.8.
Ćwiczenie 9.9.
Podpunkt c)
Podpunkt d)
Ćwiczenie 9.10.
Ćwiczenie 9.11.
Ćwiczenie 9.12.
Ćwiczenie 9.13.
Ćwiczenie 9.14.
Ćwiczenie 9.15.
Ćwiczenie 9.16.
Ćwiczenie 9.17.
Ćwiczenie 9.18.
Ćwiczenie 9.19.
Ćwiczenie 9.20.
Ćwiczenie 9.21.
Ćwiczenie 9.22.
Ćwiczenie 9.23.
Ćwiczenie 9.24.
Ćwiczenie 9.25.
Ćwiczenie 9.26.
Ćwiczenie 9.27.
Ćwiczenie 9.28.
Ćwiczenie 9.29.
Ćwiczenie 9.30.
Ćwiczenie 9.31.
Ćwiczenie 9.32.
Ćwiczenie 9.33.
Ćwiczenie 9.34.
Ćwiczenie 9.35.
Ćwiczenie 9.36.
Ćwiczenie 9.37.
Ćwiczenie 9.38.
Ćwiczenie 9.39.
Ćwiczenie 9.40.
Ćwiczenie 9.41.
Ćwiczenie 9.42.
Ćwiczenie 9.43.
Ćwiczenie 9.44.
Ćwiczenie 9.45.
Ćwiczenie 9.46.
Ćwiczenie 9.47.
Ćwiczenie 9.48.
Ćwiczenie 9.49.
Ćwiczenie 9.50.
Ćwiczenie 9.51.
Ćwiczenie 9.52.
Ćwiczenie 9.53.
Ćwiczenie 9.54.
Ćwiczenie 9.55.
Ćwiczenie 9.56.
Ćwiczenie 9.57.
Ćwiczenie 9.58.
Ćwiczenie 9.59.
Ćwiczenie 9.60.
Ćwiczenie 9.61.
Ćwiczenie 9.62.
Ćwiczenie 9.63.
Ćwiczenie 9.64.