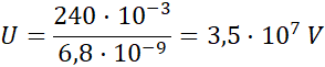
W tym zadaniu musisz obliczyć napięcie między płytami.
Ładunek:
Gdzie:
E – energia, U - napięcie
Ćwiczenie 9.1.
Podpunkt a)
Podpunkt b)
Ćwiczenie 9.2.
Ćwiczenie 9.3.
Ćwiczenie 9.4.
Ćwiczenie 9.5.
Ćwiczenie 9.6.
Ćwiczenie 9.7.
Ćwiczenie 9.8.
Ćwiczenie 9.9.
Podpunkt c)
Podpunkt d)
Ćwiczenie 9.10.
Ćwiczenie 9.11.
Ćwiczenie 9.12.
Ćwiczenie 9.13.
Ćwiczenie 9.14.
Ćwiczenie 9.15.
Ćwiczenie 9.16.
Ćwiczenie 9.17.
Ćwiczenie 9.18.
Ćwiczenie 9.19.
Ćwiczenie 9.20.
Ćwiczenie 9.21.
Ćwiczenie 9.22.
Ćwiczenie 9.23.
Ćwiczenie 9.24.
Ćwiczenie 9.25.
Ćwiczenie 9.26.
Ćwiczenie 9.27.
Ćwiczenie 9.28.
Ćwiczenie 9.29.
Ćwiczenie 9.30.
Ćwiczenie 9.31.
Ćwiczenie 9.32.
Ćwiczenie 9.33.
Ćwiczenie 9.34.
Ćwiczenie 9.35.
Ćwiczenie 9.36.
Ćwiczenie 9.37.
Ćwiczenie 9.38.
Ćwiczenie 9.39.
Ćwiczenie 9.40.
Ćwiczenie 9.41.
Ćwiczenie 9.42.
Ćwiczenie 9.43.
Ćwiczenie 9.44.
Ćwiczenie 9.45.
Ćwiczenie 9.46.
Ćwiczenie 9.47.
Ćwiczenie 9.48.
Ćwiczenie 9.49.
Ćwiczenie 9.50.
Ćwiczenie 9.51.
Ćwiczenie 9.52.
Ćwiczenie 9.53.
Ćwiczenie 9.54.
Ćwiczenie 9.55.
Ćwiczenie 9.56.
Ćwiczenie 9.57.
Ćwiczenie 9.58.
Ćwiczenie 9.59.
Ćwiczenie 9.60.
Ćwiczenie 9.61.
Ćwiczenie 9.62.
Ćwiczenie 9.63.
Ćwiczenie 9.64.