W tym zadaniu musisz obliczyć prędkość elektronu.
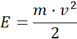
Energia kinetyczna:
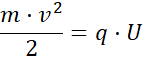
Gdzie:
m – masa ciała, v - prędkość
Masa elektronu:
Ładunek:
E – energia, U - napięcie
Ćwiczenie 9.1.
Podpunkt a)
Podpunkt b)
Ćwiczenie 9.2.
Ćwiczenie 9.3.
Ćwiczenie 9.4.
Ćwiczenie 9.5.
Ćwiczenie 9.6.
Ćwiczenie 9.7.
Ćwiczenie 9.8.
Ćwiczenie 9.9.
Podpunkt c)
Podpunkt d)
Ćwiczenie 9.10.
Ćwiczenie 9.11.
Ćwiczenie 9.12.
Ćwiczenie 9.13.
Ćwiczenie 9.14.
Ćwiczenie 9.15.
Ćwiczenie 9.16.
Ćwiczenie 9.17.
Ćwiczenie 9.18.
Ćwiczenie 9.19.
Ćwiczenie 9.20.
Ćwiczenie 9.21.
Ćwiczenie 9.22.
Ćwiczenie 9.23.
Ćwiczenie 9.24.
Ćwiczenie 9.25.
Ćwiczenie 9.26.
Ćwiczenie 9.27.
Ćwiczenie 9.28.
Ćwiczenie 9.29.
Ćwiczenie 9.30.
Ćwiczenie 9.31.
Ćwiczenie 9.32.
Ćwiczenie 9.33.
Ćwiczenie 9.34.
Ćwiczenie 9.35.
Ćwiczenie 9.36.
Ćwiczenie 9.37.
Ćwiczenie 9.38.
Ćwiczenie 9.39.
Ćwiczenie 9.40.
Ćwiczenie 9.41.
Ćwiczenie 9.42.
Ćwiczenie 9.43.
Ćwiczenie 9.44.
Ćwiczenie 9.45.
Ćwiczenie 9.46.
Ćwiczenie 9.47.
Ćwiczenie 9.48.
Ćwiczenie 9.49.
Ćwiczenie 9.50.
Ćwiczenie 9.51.
Ćwiczenie 9.52.
Ćwiczenie 9.53.
Ćwiczenie 9.54.
Ćwiczenie 9.55.
Ćwiczenie 9.56.
Ćwiczenie 9.57.
Ćwiczenie 9.58.
Ćwiczenie 9.59.
Ćwiczenie 9.60.
Ćwiczenie 9.61.
Ćwiczenie 9.62.
Ćwiczenie 9.63.
Ćwiczenie 9.64.