Niestety nie jesteśmy w stanie pomóc Ci w rozwiązaniu tego zadania, podążaj za treścią, a na pewno dasz sobie radę. Skorzystaj z wyjaśnienia eksperta do spraw fizyki.
Wyjaśnienie
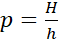
Skorzystaj ze wzoru na powiększenie: , gdzie h to odległość pomiędzy knotami świeczek, czyli odległość między przedmiotami, H to odległość między światełkami na obrazie.