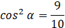
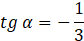
W tym zadaniu musisz wyznaczyć pozostałe wartości funkcji trygonometrycznych kąta
Skorzystaj z jedynki trygonometrycznej
Ćwiczenie 1.
185Ćwiczenie 2.
186Ćwiczenie 8.
189Zadanie 2.
191Zadanie 3.
191Zadanie 4.
191Zadanie 5.
191Zadanie 6.
191Zadanie 7.
191Zadanie 11.
192Ćwiczenie 1.
194Ćwiczenie 2.
195Ćwiczenie 3.
195Zadanie 1.
197Zadanie 2.
197Zadanie 3.
197Zadanie 4.
198Zadanie 5.
198Zadanie 2.
205Zadanie 3.
205Zadanie 4.
205Ćwiczenie 2.
211Zadanie 1.
211Zadanie 2.
211Zadanie 3.
211Ćwiczenie 1.
217Ćwiczenie 7.
220Ćwiczenie 8.
221Zadanie 1.
221Zadanie 2.
222Zadanie 3.
222Zadanie 4.
222Zadanie 5.
222Zadanie 6.
223Zadanie 7.
223Zadanie 8.
223Zadanie 9.
223Zadanie 10.
223Zadanie 11.
223Zadanie 12.
223Ćwiczenie 1.
225Ćwiczenie 2.
227Zadanie 1.
227Ćwiczenie 1.
231Ćwiczenie 2.
232Ćwiczenie 3.
233Ćwiczenie 4.
234Ćwiczenie 5.
235Ćwiczenie 6.
236Ćwiczenie 7.
237Zadanie 1.
237Zadanie 2.
238Zadanie 3.
238Ćwiczenie 1.
240Ćwiczenie 2.
240Ćwiczenie 3.
241Ćwiczenie 4.
242Ćwiczenie 5.
243Zadanie 1.
244Zadanie 2.
244Zadanie 3.
244Zadanie 4.
244Zadanie 5.
244Zadanie 6.
244Ćwiczenie 1.
248Ćwiczenie 3.
249Zadanie 1.
250Zadanie 2.
251Zadanie 3.
251