W tym zadaniu musisz wyznaczyć długości boku AB trójkąta ABC, w którym kąty wynoszą
Bok AD wynosi:
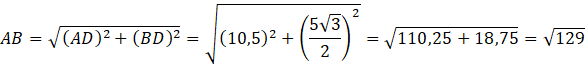
Stąd, z twierdzenia Pitagorasa:
Utwórz trójkąt prostokątny, gdzie kąt dopełniający BCD wynosi
Następnie twierdzenie Pitagorasa.
Ćwiczenie 1.
185Ćwiczenie 2.
186Ćwiczenie 8.
189Zadanie 2.
191Zadanie 3.
191Zadanie 4.
191Zadanie 5.
191Zadanie 6.
191Zadanie 7.
191Zadanie 11.
192Ćwiczenie 1.
194Ćwiczenie 2.
195Ćwiczenie 3.
195Zadanie 1.
197Zadanie 2.
197Zadanie 3.
197Zadanie 4.
198Zadanie 5.
198Zadanie 2.
205Zadanie 3.
205Zadanie 4.
205Ćwiczenie 2.
211Zadanie 1.
211Zadanie 2.
211Zadanie 3.
211Ćwiczenie 1.
217Ćwiczenie 7.
220Ćwiczenie 8.
221Zadanie 1.
221Zadanie 2.
222Zadanie 3.
222Zadanie 4.
222Zadanie 5.
222Zadanie 6.
223Zadanie 7.
223Zadanie 8.
223Zadanie 9.
223Zadanie 10.
223Zadanie 11.
223Zadanie 12.
223Ćwiczenie 1.
225Ćwiczenie 2.
227Zadanie 1.
227Ćwiczenie 1.
231Ćwiczenie 2.
232Ćwiczenie 3.
233Ćwiczenie 4.
234Ćwiczenie 5.
235Ćwiczenie 6.
236Ćwiczenie 7.
237Zadanie 1.
237Zadanie 2.
238Zadanie 3.
238Ćwiczenie 1.
240Ćwiczenie 2.
240Ćwiczenie 3.
241Ćwiczenie 4.
242Ćwiczenie 5.
243Zadanie 1.
244Zadanie 2.
244Zadanie 3.
244Zadanie 4.
244Zadanie 5.
244Zadanie 6.
244Ćwiczenie 1.
248Ćwiczenie 3.
249Zadanie 1.
250Zadanie 2.
251Zadanie 3.
251