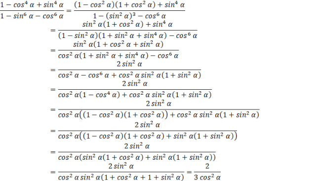
W tym zadaniu musisz udowodnić prawdziwość wyrażenia
Przekształcamy lewą stronę:
Przekształć lewą stronę. Rozpisz licznik jako
Ćwiczenie 1.
185Ćwiczenie 2.
186Ćwiczenie 8.
189Zadanie 2.
191Zadanie 3.
191Zadanie 4.
191Zadanie 5.
191Zadanie 6.
191Zadanie 7.
191Zadanie 11.
192Ćwiczenie 1.
194Ćwiczenie 2.
195Ćwiczenie 3.
195Zadanie 1.
197Zadanie 2.
197Zadanie 3.
197Zadanie 4.
198Zadanie 5.
198Zadanie 2.
205Zadanie 3.
205Zadanie 4.
205Ćwiczenie 2.
211Zadanie 1.
211Zadanie 2.
211Zadanie 3.
211Ćwiczenie 1.
217Ćwiczenie 7.
220Ćwiczenie 8.
221Zadanie 1.
221Zadanie 2.
222Zadanie 3.
222Zadanie 4.
222Zadanie 5.
222Zadanie 6.
223Zadanie 7.
223Zadanie 8.
223Zadanie 9.
223Zadanie 10.
223Zadanie 11.
223Zadanie 12.
223Ćwiczenie 1.
225Ćwiczenie 2.
227Zadanie 1.
227Ćwiczenie 1.
231Ćwiczenie 2.
232Ćwiczenie 3.
233Ćwiczenie 4.
234Ćwiczenie 5.
235Ćwiczenie 6.
236Ćwiczenie 7.
237Zadanie 1.
237Zadanie 2.
238Zadanie 3.
238Ćwiczenie 1.
240Ćwiczenie 2.
240Ćwiczenie 3.
241Ćwiczenie 4.
242Ćwiczenie 5.
243Zadanie 1.
244Zadanie 2.
244Zadanie 3.
244Zadanie 4.
244Zadanie 5.
244Zadanie 6.
244Ćwiczenie 1.
248Ćwiczenie 3.
249Zadanie 1.
250Zadanie 2.
251Zadanie 3.
251