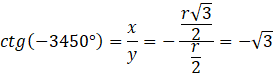
W tym zadaniu musisz obliczyć wartość funkcji trygonometrycznej wskazanego kąta.
Rozważ trójkąt równoboczny o boku r:
Stąd wartości funkcji trygonometrycznych.
Ćwiczenie 1.
185Ćwiczenie 2.
186Ćwiczenie 8.
189Zadanie 2.
191Zadanie 3.
191Zadanie 4.
191Zadanie 5.
191Zadanie 6.
191Zadanie 7.
191Zadanie 11.
192Ćwiczenie 1.
194Ćwiczenie 2.
195Ćwiczenie 3.
195Zadanie 1.
197Zadanie 2.
197Zadanie 3.
197Zadanie 4.
198Zadanie 5.
198Zadanie 2.
205Zadanie 3.
205Zadanie 4.
205Ćwiczenie 2.
211Zadanie 1.
211Zadanie 2.
211Zadanie 3.
211Ćwiczenie 1.
217Ćwiczenie 7.
220Ćwiczenie 8.
221Zadanie 1.
221Zadanie 2.
222Zadanie 3.
222Zadanie 4.
222Zadanie 5.
222Zadanie 6.
223Zadanie 7.
223Zadanie 8.
223Zadanie 9.
223Zadanie 10.
223Zadanie 11.
223Zadanie 12.
223Ćwiczenie 1.
225Ćwiczenie 2.
227Zadanie 1.
227Ćwiczenie 1.
231Ćwiczenie 2.
232Ćwiczenie 3.
233Ćwiczenie 4.
234Ćwiczenie 5.
235Ćwiczenie 6.
236Ćwiczenie 7.
237Zadanie 1.
237Zadanie 2.
238Zadanie 3.
238Ćwiczenie 1.
240Ćwiczenie 2.
240Ćwiczenie 3.
241Ćwiczenie 4.
242Ćwiczenie 5.
243Zadanie 1.
244Zadanie 2.
244Zadanie 3.
244Zadanie 4.
244Zadanie 5.
244Zadanie 6.
244Ćwiczenie 1.
248Ćwiczenie 3.
249Zadanie 1.
250Zadanie 2.
251Zadanie 3.
251