Wpisz brakujące wartości w grafy.
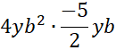
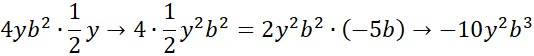
Pomnóż wyrażenie w grafie przez wyrażenie w strzałce. Każdą literę pomnóż przez literę, liczbę przez liczbę, minusy mnożysz tylko raz. Przy najdłuższych strzałkach napisz wynik mnożenia wyrażeń nad górnymi strzałkami.
Ćwiczenie 1.
Podpunkt a)
Podpunkt b)
Ćwiczenie 2.
Ćwiczenie 3.
Podpunkt c)
Podpunkt d)
Podpunkt e)
Podpunkt f)
Ćwiczenie 4.
Podpunkt g)
Podpunkt h)