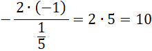
Wpisz w puste pole taką liczbę, by wynik wyrażenia dla x = -1 był równy 10.
Zastanów się, przez jaką liczbę pomnożyć 2, by otrzymać 10, a następnie zamień liczbę na ułamek.
Ćwiczenie 1.
Podpunkt a)
Podpunkt b)
Ćwiczenie 2.
Ćwiczenie 3.
Podpunkt c)
Podpunkt d)
Podpunkt e)
Podpunkt f)
Ćwiczenie 4.
Podpunkt g)
Podpunkt h)