Wypełnij brakujące luki odpowiednimi wyrażeniami.
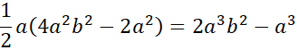
By otrzymać odjemnik, podziel przez .
Ćwiczenie 1.
Podpunkt a)
Podpunkt b)
Ćwiczenie 2.
Ćwiczenie 3.
Podpunkt c)
Podpunkt d)
Podpunkt e)
Podpunkt f)
Ćwiczenie 4.
Podpunkt g)
Podpunkt h)