Oblicz wartość liczbową wyrażenia algebraicznego dla podanej wartości.
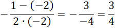
Dla z = -2
W wyrażeniu w miejsce „z” wstaw wartość, która jest podana.
Ćwiczenie 1.
Podpunkt a)
Podpunkt b)
Ćwiczenie 2.
Ćwiczenie 3.
Podpunkt c)
Podpunkt d)
Podpunkt e)
Podpunkt f)
Ćwiczenie 4.
Podpunkt g)
Podpunkt h)