Podstawa tego ostrosłupa jest kwadratem o boku 5 cm.
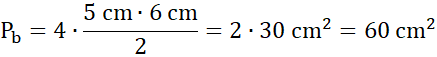
Powierzchnia boczna to 4 identyczne trójkąty o podstawie 5 cm i wysokości 6 cm.
Pole powierzchni całkowitej to suma pola podstawy i pola powierzchni bocznej.
Mając jedynie 2 wymiary, możemy policzyć pole powierzchni tego ostrosłupa. Boki kwadratu są jednocześnie podstawami trójkątów w powierzchni bocznej.