Objętość wody wynosi:
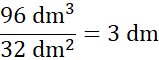
Pole podstawy drugiego prostopadłościanu wynosi:
Podziel objętość wody przez pole podstawy prostopadłościanu i otrzymasz wysokość, do jakiej będzie sięgać woda:
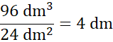
Pole podstawy drugiego prostopadłościanu wynosi:
Podziel objętość wody przez pole podstawy prostopadłościanu i otrzymasz wysokość, do jakiej będzie sięgać woda:
Objętość wody nie zmieni się, jeśli postawimy prostopadłościan na innej ścianie.