| Długość krawędzi sześcianu | 7 cm | 13 cm | 10 dm | 4 cm | 5 m |
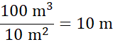
| Objętość sześcianu | 343 cm3 | 2197 cm3 | 1000 dm3 | 64 cm3 | 125 m3 |
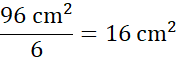
| Pole powierzchni sześcianu | 294 cm2 | 1014 cm2 | 600 dm2 | 96 cm2 | 150 m2 |
| Długości krawędzi prostopadłościanu | 2 cm | 10 dm | 5 m | 4,5 mm | 7 cm |
| 2 cm | 8 dm | 2 m | 2 mm | 10 cm | |
| 6 cm | 1 dm | 10 m | 6 mm | 0,2 cm | |
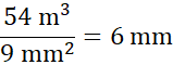
| Objętość prostopadłościanu | 24 cm3 | 80 dm3 | 100 m3 | 54 mm3 | 14 cm3 |
Wzór na objętość sześcianu o boku a ma postać:
gdzie V jest objętością sześcianu,
a jest krawędzią sześcianu.
Pole powierzchni sześcianu liczymy ze wzoru:
gdzie P jest polem powierzchni sześcianu,
a jest krawędzią sześcianu.
Sześcian 1:
Objętość:
Pole:
Sześcian 2:
Objętość:
Pole:
Sześcian 3:
Objętość jest równa 1000, więc bok jest równy 10 dm.
Sprawdzenie:
Pole:
Sześcian 4:
Podziel pole przez 6, a otrzymasz pole jednej ściany:
Sprawdzenie:
Bok będzie równy 4.
Sprawdzenie:
Sześcian 5:
Objętość jest równa 125, więc bok jest równy 5 m.
Sprawdzenie:
Pole:
Użyj wzoru na objętość prostopadłościanu o długości a, szerokości b i wysokości c:
Prostopadłościan 1:
Prostopadłościan 2:
Prostopadłościan 3:
Iloczyn długości dwóch boków:
Podziel teraz objętość przez ten iloczyn, by otrzymać brakującą krawędź.
Prostopadłościan 4:
Iloczyn długości dwóch boków:
Podziel teraz objętość przez ten iloczyn, by otrzymać brakującą krawędź.
Prostopadłościan 5: