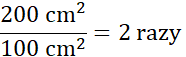
Zdecyduj, ile razy pole prostokąta jest większe od pola kwadratu.
Pole prostokąta jest 2 razy większe niż pole kwadratu.
Kwadrat będzie mieć pole:
Pole prostokąta będzie mieć:
Należy podzielić pole prostokąta przez pole kwadratu.
Ćwiczenie 1.
Ćwiczenie 2.
Ćwiczenie 3.
Ćwiczenie 4.
Ćwiczenie 5.
Podpunkt a)
Podpunkt b)
Podpunkt c)
Podpunkt d)
Ćwiczenie 6.
Ćwiczenie 7.
Podpunkt e)
Podpunkt f)
Ćwiczenie 8.
Ćwiczenie 9.
Ćwiczenie 10.
Ćwiczenie 11.
Ćwiczenie 12.