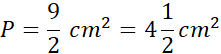
Oznacz literą a bok trójkąta, literą h wysokość. Następnie zmierz te długości i policz pole trójkąta.
a = 3 cm
h = 3 cm
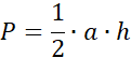
Wzór na pole trójkąta o boku a i wysokości opuszczonej na ten bok wynosi:
Ćwiczenie 1.
Ćwiczenie 2.
Ćwiczenie 3.
Ćwiczenie 4.
Ćwiczenie 5.
Podpunkt a)
Podpunkt b)
Podpunkt c)
Podpunkt d)
Ćwiczenie 6.
Ćwiczenie 7.
Podpunkt e)
Podpunkt f)
Ćwiczenie 8.
Ćwiczenie 9.
Ćwiczenie 10.
Ćwiczenie 11.
Ćwiczenie 12.