Narysuj wysokość, oznacz ją i podstawy odpowiednimi literami. Policz pole trapezu.
a = 3,7 cm
b = 2,3 cm
h = 2,2 cm
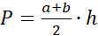
Wzór na pole trapezu o podstawach a i b i wysokości h ma postać: .
Ćwiczenie 1.
Ćwiczenie 2.
Ćwiczenie 3.
Ćwiczenie 4.
Ćwiczenie 5.
Podpunkt a)
Podpunkt b)
Podpunkt c)
Podpunkt d)
Ćwiczenie 6.
Ćwiczenie 7.
Podpunkt e)
Podpunkt f)
Ćwiczenie 8.
Ćwiczenie 9.
Ćwiczenie 10.
Ćwiczenie 11.
Ćwiczenie 12.