Figura I składa się z lewego trójkąta prostokątnego o przyprostokątnych 2 cm i 4 cm i trapezu równoramiennego o podstawach 4 cm i 1 cm oraz wysokości 3 cm.
Figura II składa się z dwóch trójkątów: jeden o podstawie 2 cm i wysokości 3 cm, a drugi o podstawie 2 cm i wysokości 2 cm.
Figura III składa się z dolnego trapezu równoramiennego o podstawach 5 cm i 3 cm i wysokości 2 cm oraz dwóch trójkątów prostokątnych o przyprostokątnych 2 cm i 2 cm oraz 1 cm i 2 cm oraz dwóch pojedynczych kwadracików.
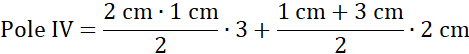
Figura IV składa się z trapezu prostokątnego o wysokości 2 cm i podstawach 1 cm i 3 cm oraz trzech trójkątów prostokątnych o przyprostokątnych długości 2 cm i 1 cm.
Figura V składa się z trójkąta o boku 3 cm i wysokości 3 cm i pięciu kwadracików o polu 1 cm2.
Figura VI jest prostokątem 5 cm na 2 cm z wyciętymi trzema trójkątami.
Figura VII jest prostokątem o wymiarach 6 cm na 2 cm z wyciętymi trzema trójkątami, w tym dwoma trójkątami prostokątnymi.
Figura VIII składa się z trzech kwadracików o polu 1 cm2 i dwóch trójkątów prostokątnych o wymiarach 1 cm na 2 cm.
Figura IX składa się z prostokąta 3 cm na 6 cm z wyciętymi po jego rogach trójkątami prostokątnymi.
Pole X składa się z prostokąta o wymiarach 2 cm na 6 cm i wyciętych z niego sześciu trójkątów – 4 z nich są prostokątne.
Pole XI składa się z trójkąta o boku 6 cm i wysokości 3 cm oraz z wyciętych z niego trapezu prostokątnego i trójkąta prostokątnego.